ЛИТ 1533
Лицей информационных технологий 1533
Государственное бюджетное общеобразовательное учреждение города Москвы «Школа № 1533 «ЛИТ»
Сайт: https://www.lit.msu.ru
Официальный сайт http://lyc1533.mskobr.ru
тел. +7 (499) 133-24-35

Лицей расположен в двух зданиях.
5–8 классы учатся по адресу Профсоюзная улица, дом 24, корпус 4, в трех минутах ходьбы от станции метро «Профсоюзная»:
(499) 124-55-65 (Профсоюзная)

9–11 классы учатся по адресу Ломоносовский проспект, дом 16, недалеко от станции метро «Университет»:
(499) 133-24-35 (Ломоносовский)

Лицей проводит набор в 3, 5 и 6 классы, а также донаборы при наличии свободных мест.
Подготовка по математике для поступления в 1533 (ЛИТ).
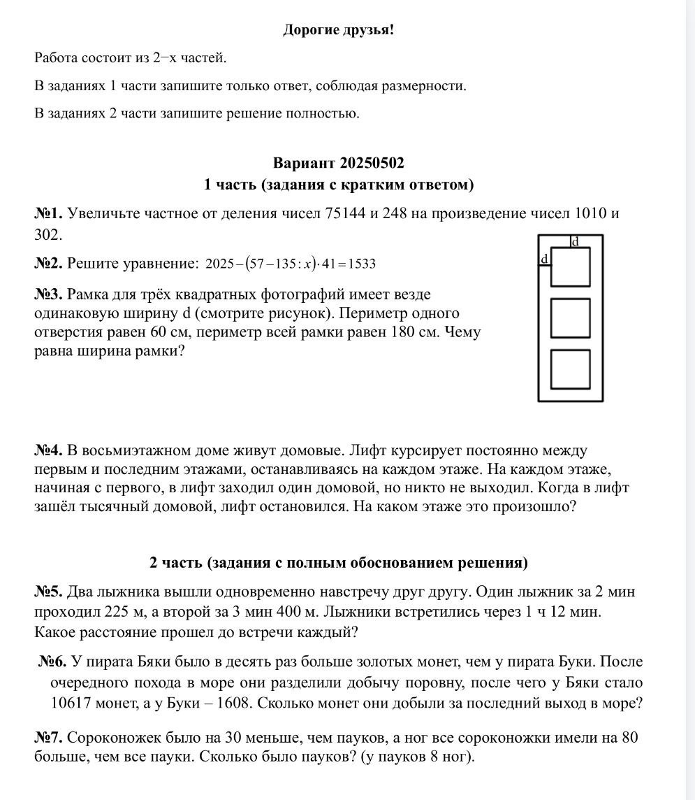
Вступительные варианты по математике для поступления в 1533 (ЛИТ):
1533 (ЛИТ) Вариант по математике для поступающих в 5-й класс. 2025 - 1
1533 (ЛИТ) Вариант по математике для поступающих в 5-й класс. 2025 - 2
1533 (ЛИТ) Вариант по математике для поступающих в 5-й класс. 2024 - 1
1533 (ЛИТ) Вариант по математике для поступающих в 5-й класс. 2024 - 2
1533 (ЛИТ) Вариант по математике для поступающих в 4-й класс. 2023 - 1
1533 (ЛИТ) Вариант по математике для поступающих в 5-й класс. 2022 - 2
1533 (ЛИТ) Вариант по математике для поступающих в 5-й класс. 2022 - 3
1533 (ЛИТ) Вариант по математике для поступающих в 5-й класс. 2023 - 1
1533 (ЛИТ) Вариант по математике для поступающих в 6-й класс. 2022
1533 (ЛИТ) Вариант по математике для поступающих в 7 класс. 2022
1533 (ЛИТ) Вариант по математике для поступающих в 7 класс.
1533 (ЛИТ) Вариант вступительной работы в 8 класс. 2023
1533 (ЛИТ) Образцы задач для поступающих в 8 класс
Я провожу подготовку к вступительным экзаменам и собеседованиям в лицеи и гимназии с углубленным изучением математики и физики. А также помогаю осваивать программу уже поступившим.
Руслан Александрович - репетитор по математике
Подготовка к поступлению и текущая помощь.
тел. моб. (495) 642 42 50. Звонить можно до 23:00.
тел. дом. 8 (499) 723 68 84. Звонить можно до 23:00.
тел. моб. 8 (925) 642 42 50. Звонить можно до 23:00.
Пишите: +7 925 642 42 50.
Пишите в Telegram: +7-925-642-42-50.
Пишите в MAX: +7-999-862-42-50.
E-mail: mosrepetitor@mail.ru
Светлана Анатольевна –репетитор по математике.
Подготовка к поступлению и текущая помощь.
т. моб. 8-926-386-49-93. Звонить можно до 24:00
тел. дом. 8-499-723-68-84 . Звонить можно до 24:00.
Пишите: +7-926-386-49-93.
E-mail:svetlana.gal@list.ru
Вариант по русскому языку для поступающих в 5 класc 2023
Вариант по русскому языку для поступающих в 5 класc 2024
Татьяна Александровна – репетитор по русскому языку.
Подготовка к поступлению и текущая помощь.
Тел: 8-926-682-00-34.
Телеграмм: +7-926-682-00-34.
E-mail: tatiana1909@rambler.ru


